角膜接触镜的透氧率、含水量等指标本质上由纳米级自由体积孔洞决定。这些孔洞的尺寸不到头发丝的万分之一(2-10埃级),却像高速公路网一般掌控着氧气和水分的传输效率。正电子湮灭寿命谱学(PALS)的独到之处在于——它能绘制这些微观结构的"三维地图",而不仅仅是二维表面形貌的展现。
测试原理
当放射性同位素(如Na-22)产生的正电子进入材料后材料后,会与材料中的电子发生湮没,正电子产生到湮没的时间差称为正电子湮没寿命,根据湮没方式的不同,正电子会有不同的寿命。
对于聚合物材料,正电子主要有两种湮没类型:
1.正电子直接与材料中的电子发生湮没;
2.正电子在孔洞及自由体积内会与电子形成类氢原子的束缚态(类似正电子为原子核的氢原子),称为电子偶素(positronium),电子与正电子的自旋方向平行为正-电子偶素(ortho-positronium,简写为o-Ps),电子与正电子的自旋方向反平行为仲-电子偶素(para-positronium,简写为p-Ps)。电子偶素在形成后也会发生湮没,真空中的湮没寿命分别为125ps(p-Ps)和142ns(o-Ps)。 在聚合物中,一般会存在三种不同的正电子湮没寿命:
●第一寿命(200ps附近):对应于p-Ps湮没类型
●第二寿命(400ps左右):对应与正电子与材料中电子的直接湮没
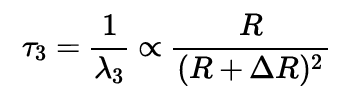
●第三寿命(1-5ns):正对应与o-Ps湮没类型 使用专业软件对正电子湮没寿命谱进行解谱可以获得第三寿命τ3的值,进而计算材料中的自由体积半径

式中R为自由体积半径,ΔR为经验修正系数0.166 nm

典型案例
💡 案例1. 钙化处理的影响
●钙化处理的PHEMA镜片(如Polymacon)中,τ₃从1.98 ns减少至1.85 ns,结合EDX检测到Ca²⁺沉积,证明钙离子填充自由体积导致结构致密化。
💡 案例2. 硅油处理的影响
●未处理PHEMA镜片中τ₃为1.98 ns,自由体积半径约2.83 ų;经硅油处理后τ₃降至1.88 ns,自由体积缩小至2.73 ų,表明硅油分子渗入自由体积孔隙并占据空间。
●PHEMA(亲水):经硅油处理后,τ₃减小且I₃降低,自由体积尺寸与密度均下降,归因于硅油分子与极性基团相互作用导致的网络紧缩。
●PMMA(疏水):硅油仅表面吸附,寿命参数未显著变化,说明其刚性结构抵抗了硅油渗透。
💡 案例3. 功能化改性(如蓝色光吸收剂)的影响
●添加0.05%蓝色光吸收剂的SN60AT镜片(PMMA基)相较于未改性材料,τ₃从2.197 ns降至2.169 ns,自由体积半径从3.1 Å降至3.0 Å,显示改性使结构更致密。
●蓝色光吸收剂改性镜片的UV-vis-NIR光谱显示400–500 nm透光率显著下降,PL结果印证了结构致密化对染料分散均匀性的优化。
💡案例4. 氧气渗透性测试
a. 水凝胶隐形眼镜(Hydrogel)
●Omafilcon A(Proclear系列):
○τ₃=1.80–1.89 ns,R=0.267–0.275 nm,Vₖ=83–87×10⁻³⁰ m³。
○氧气渗透性(Dk/t):25–42,高含水量(59–62%)抑制自由体积形成。
●Etafilcon A(Acuvue Moist):
○τ₃=1.75 ns, R=0.260 nm,fᵥ=46%,氧气渗透性较低(Dk/t=28)。
b. 硅水凝胶隐形眼镜(Silicone-Hydrogel)
●Comfilcon A(Biofinity系列):
○τ₃=3.17–3.29 ns,R=0.375–0.382 nm,Vₖ≈220–233×10⁻³⁰ m³。
○氧气渗透性(Dk/t) 高达128,自由体积更大但含水量低(48%)。
●Narafilcon A(Acuvue Trueye):
○τ₃=2.71 ns,R=0.343 nm,自由体积分数较低(fᵥ=55%),反映硅氧烷链段的长程有序性提升。
c. 硬性透气隐形眼镜(RGP)
●Fluor-Silicon-Methacrylat-Copolymer:
○τ₃=2.72 ns,R=0.347 nm,自由体积介于水凝胶与硅水凝胶之间,氧气渗透性高(Dk≈100)但含水量极低(≤1%)。
d. 测试结论
自由体积与氧气渗透性正相关:硅水凝胶的Vₖ与fᵥ显著高于水凝胶(硅氧烷链段引入更多空隙),导致其Dk/t值提升3–5倍(如Biofinity的Dk/t=128 vs. Proclear的Dk/t=42)。
含水量与自由体积的权衡:水凝胶的高含水量(>60%)通过氢键填充自由体积,降低氧气渗透但提高舒适性。
结构缺陷分析:通过两态模型(two-state model)发现,硅水凝胶的缺陷捕获速率(κ₄=0.77 ns⁻¹)低于水凝胶(κ₄=0.92 ns⁻¹),表明其微观结构更稳定。